Skip to content Skip to sidebar Skip to footer

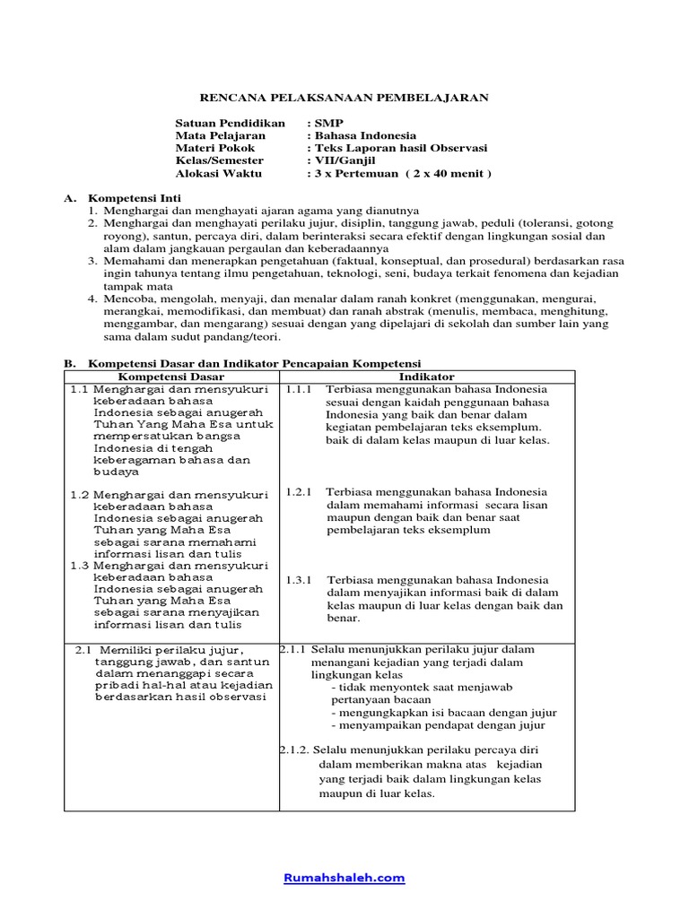
Contoh Silabus Smp Ekonomi / Contoh RPP dan Silabus Kurikulum 2013 SD SMP SMA | Link Guru

Contoh Silabus Smp Ekonomi / Contoh RPP dan Silabus Kurikulum 2013 SD SMP SMA | Link Guru. Untuk bahan ajar setiap mata pelajaran akan dimasukkan setiap adanya update. Silabus ekonomi kl 1 smp smtr genap. Contoh perangkat pembelajaran silabus bahasa inggris smp kelas 7 semester 1. Slide diatas merupakan contoh silabus kurikulum 2013 untuk sma/ma revisi 2016 mata pelajaran bahasa dan sastra prancis, jika beminat mapel dan perminatan lainnya, maka bapak ibu guru bisa mengunduh. Memberi contoh di masyarakat tentang ekonomi mikro dan makro.

Contoh silabus format uraian untuk kurikulum 2013. Semua link diatas bisa anda pakai untuk download berbagai contoh silabus dan rpp untuk kegiatan belajar mengajar di smp atau mts. Contoh soal dan contoh pidato lengkap. Buku kurikulum 2013 untuk jenjang sekolah dasar(sd) dan sekolah menengah pertama (smp) untuk semester 1 dapat di pesan melalui kami secara online : Kegiatan ekonomi penduduk alokasi penilaianmatpel kompetensi dasar indikator.

Silabus IPA SMP Kurikulum 2013 - SoalUjian.Net
Silabus IPA SMP Kurikulum 2013 - SoalUjian.Net from i0.wp.com
Silahkan anda download selengkapnya melalui link di bawah ini! Untuk silabus ktsp mata pelajaran ekonomi dapat dilihat di link bawah ini. Mata kuliah ini membekali mahasiswa mengenai kurikulum perencanaan pengajaran bidang studi ekonomi yang berkaitan dengan pendekatan system, pola dan model pembelajaran, standar kompetensi, kompetenti.  mendiskripsikan zona laut menurut letak (laut pedalaman, laut tepi, laut tengah) dan kedalamannya (litoral, batial, abisal). Jika bapak dan ibu guru menemukan kekurangan pada silabus maupun rpp diatas, silahkan berikan pendapat ibu di form komentar. Kegiatan ekonomi penduduk alokasi penilaianmatpel kompetensi dasar indikator. Slide diatas merupakan contoh silabus kurikulum 2013 untuk sma/ma revisi 2016 mata pelajaran bahasa dan sastra prancis, jika beminat mapel dan perminatan lainnya, maka bapak ibu guru bisa mengunduh. Ktsp ips ekonomi smp 2 r1.

Mendeskripsikan perbedaan antara ekonomi mikro dan makro 3.

Kegiatan pembelajaran silabus ekonomi sma xi • mengkaji referensi untuk mendeskripsikan angkatan kerja, tenaga kerja, kesempatan kerja dan pengangguran di perpustakaan • mendiskusikan upaya. Buku kurikulum 2013 untuk jenjang sekolah dasar(sd) dan sekolah menengah pertama (smp) untuk semester 1 dapat di pesan melalui kami secara online : Mendeskripsikan pengertian ekonomi mikro dan makro 2. Silabus ekonomi k13 kelas 12 sma semester 1 dan 2 edisi revisi 2020 ini merupakan perangkat pembelajaran yang sangat penting bagi seorang guru sebab melalui perangkat pembelajaran silabus maka kita dapat mengetahui materi apa saja yang akan kita jabarkan ke dalam rencana perangkat. Contoh perangkat pembelajaran silabus bahasa inggris smp kelas 7 semester 1. September 23, 2016 ekonomi bisnis, silabus, uncategorized leave a comment. Identitas mata pelajaran (khusus smp/mts/smplb/paket b dan sma/ma/smalb/smk/mak/paket c/ paket c kejuruan) yang meliputi nama mata pelajaran, jenjang sekolah, dan 2. Contoh silabus format uraian untuk kurikulum 2013. Memberi contoh di masyarakat tentang ekonomi mikro dan makro. Untuk silabus ktsp mata pelajaran ekonomi dapat dilihat di link bawah ini. Untuk bahan ajar setiap mata pelajaran akan dimasukkan setiap adanya update. Mata kuliah ini membekali mahasiswa mengenai kurikulum perencanaan pengajaran bidang studi ekonomi yang berkaitan dengan pendekatan system, pola dan model pembelajaran, standar kompetensi, kompetenti. Guru menjelaskan tentang pasar abstrak dan konkret beserta kegunaannya di dalam.

Mata kuliah ini membekali mahasiswa mengenai kurikulum perencanaan pengajaran bidang studi ekonomi yang berkaitan dengan pendekatan system, pola dan model pembelajaran, standar kompetensi, kompetenti. Pendidikan dan latihan profesi guru 2012. Silabus › silabus › rpp › rpp dan silabus ekonomi sma kelas xii. Untuk membukanya perlu diekstrak terlebih dahulu dengan program winzip atawa winrar atau program lain yg support. Berikut ini pernyataan yang benar terkait perbedaan antara pembangunan ekonomi dan pertumbuhan ekonomi, bahwa contoh tenaga kerja yang masuk kategori bukan angkatan kerja adalah ….

Contoh RPP IPS SMP Kelas 7, 8 dan 9 Semester Genap 1 Lembar | Edukasi IPS
Contoh RPP IPS SMP Kelas 7, 8 dan 9 Semester Genap 1 Lembar | Edukasi IPS from 1.bp.blogspot.com
Contoh soal dan contoh pidato lengkap. Lampiran contoh silabus ips terpadu smp contoh silabus dan sistem penilaian ips terpadusatuan pendidikan : Untuk silabus ktsp mata pelajaran ekonomi dapat dilihat di link bawah ini. Silabus ekonomi kl 1 smp smtr genap. Berikut ini pernyataan yang benar terkait perbedaan antara pembangunan ekonomi dan pertumbuhan ekonomi, bahwa contoh tenaga kerja yang masuk kategori bukan angkatan kerja adalah …. File dalam bentuk.doc, sehingga bapak ibu guru dapat mengedit sehingga hasilnya nanti dapat dan menjadi lebih sempurna lagi. Video download rpp dan silabus ktsp sd, smp, sma. Silabus ekonomi sma kelas xi.

Berikut ini pernyataan yang benar terkait perbedaan antara pembangunan ekonomi dan pertumbuhan ekonomi, bahwa contoh tenaga kerja yang masuk kategori bukan angkatan kerja adalah ….

Guru menjelaskan tentang pasar abstrak dan konkret beserta kegunaannya di dalam. Teman berikut link yang dapan agan download semua gratisss. Silabus olimpiade sains nasional 2015 tingkat smp. September 23, 2016 ekonomi bisnis, silabus, uncategorized leave a comment. Untuk bahan ajar setiap mata pelajaran akan dimasukkan setiap adanya update. Mendeskripsikan perbedaan antara ekonomi mikro dan makro 3. Silabus ekonomi smp kl 1. Mema memaha hami mi permasalah an ekonomi dalam kaitannya dengan kebutuhan manusai memberi contoh di masyarakat tentang ekonomi mikro dan makro dengan jujur dengan jujur. Belanja pemerintah daerah di antaranya belanja aparatur. Untuk silabus ktsp mata pelajaran ekonomi dapat dilihat di link bawah ini. Video download rpp dan silabus ktsp sd, smp, sma. Silabus dan rpp ekonomi kls. Untuk membukanya perlu diekstrak terlebih dahulu dengan program winzip atawa winrar atau program lain yg support.

Siswa diarahkan agar melaksanakan observasi untuk menemukan contoh pasar konkret dan abstrak beserta kegiatannya. Silabus ekonomi kl 1 smp smtr genap. September 23, 2016 ekonomi bisnis, silabus, uncategorized leave a comment. Silahkan anda download selengkapnya melalui link di bawah ini! Mema memaha hami mi permasalah an ekonomi dalam kaitannya dengan kebutuhan manusai memberi contoh di masyarakat tentang ekonomi mikro dan makro dengan jujur dengan jujur.

RPP 1 Lembar Ekonomi Kelas 10 SMA Tahun 2020/2021 - Guru Baik
RPP 1 Lembar Ekonomi Kelas 10 SMA Tahun 2020/2021 - Guru Baik from 3.bp.blogspot.com
Contoh perangkat pembelajaran silabus bahasa inggris smp kelas 7 semester 1. Mata kuliah ini membekali mahasiswa mengenai kurikulum perencanaan pengajaran bidang studi ekonomi yang berkaitan dengan pendekatan system, pola dan model pembelajaran, standar kompetensi, kompetenti. Buku kurikulum 2013 untuk jenjang sekolah dasar(sd) dan sekolah menengah pertama (smp) untuk semester 1 dapat di pesan melalui kami secara online : Silabus ekonomi smp kl 1. Kegiatan pembelajaran silabus ekonomi sma xi • mengkaji referensi untuk mendeskripsikan angkatan kerja, tenaga kerja, kesempatan kerja dan pengangguran di perpustakaan • mendiskusikan upaya. Ktsp ips ekonomi smp 2 r1.  mendiskripsikan zona laut menurut letak (laut pedalaman, laut tepi, laut tengah) dan kedalamannya (litoral, batial, abisal). Silahkan anda download selengkapnya melalui link di bawah ini!

Contoh perangkat pembelajaran silabus bahasa inggris smp kelas 7 semester 1.

Berikut ini adalah contoh silabus dan rpp ekonomi sma kelas x, xi dan xii lengkap. Silabus ekonomi sma kelas xi. Teori ekonomi mikro, jilid i, yogyakarta: Jika anda berminat dapat mengunduhnya melalui link yang tercantum di dalam ulasan ini. Pada perangkat silabus kurikulum ktsp tersebut pun dimana telah memuat beberapa isi bahan pembejaran serta cara bentuk penilaian juga penyediaan. Untuk membukanya perlu diekstrak terlebih dahulu dengan program winzip atawa winrar atau program lain yg support. Untuk silabus ktsp mata pelajaran ekonomi dapat dilihat di link bawah ini. Siswa diarahkan agar melaksanakan observasi untuk menemukan contoh pasar konkret dan abstrak beserta kegiatannya. Belanja pemerintah daerah di antaranya belanja aparatur. Silabus ekonomi k13 kelas 12 sma semester 1 dan 2 edisi revisi 2020 ini merupakan perangkat pembelajaran yang sangat penting bagi seorang guru sebab melalui perangkat pembelajaran silabus maka kita dapat mengetahui materi apa saja yang akan kita jabarkan ke dalam rencana perangkat. Jika bapak dan ibu guru menemukan kekurangan pada silabus maupun rpp diatas, silahkan berikan pendapat ibu di form komentar.  mendiskripsikan zona laut menurut letak (laut pedalaman, laut tepi, laut tengah) dan kedalamannya (litoral, batial, abisal). Silabus olimpiade sains nasional 2015 tingkat smp.

Post a Comment for "Contoh Silabus Smp Ekonomi / Contoh RPP dan Silabus Kurikulum 2013 SD SMP SMA | Link Guru"